Spin Glass Defects . Here, we realize coherent control of ensembles of boron vacancy centers in hexagonal boron nitride (hbn). “real” spin glasses are disordered magnetic materials which can be very diverse from the chemist’s point of view, but all. super spin glass state has been confirmed by memory and aging measurements. To use these defects in quantum applications coherent manipulation of their spin state is required. recently, hexagonal boron nitride (hbn) has been shown to host several types of optically addressable spin defects, thus.
from www.norrsken.co.uk
Here, we realize coherent control of ensembles of boron vacancy centers in hexagonal boron nitride (hbn). “real” spin glasses are disordered magnetic materials which can be very diverse from the chemist’s point of view, but all. super spin glass state has been confirmed by memory and aging measurements. recently, hexagonal boron nitride (hbn) has been shown to host several types of optically addressable spin defects, thus. To use these defects in quantum applications coherent manipulation of their spin state is required.
Glass Defects and Guidelines
Spin Glass Defects “real” spin glasses are disordered magnetic materials which can be very diverse from the chemist’s point of view, but all. recently, hexagonal boron nitride (hbn) has been shown to host several types of optically addressable spin defects, thus. To use these defects in quantum applications coherent manipulation of their spin state is required. “real” spin glasses are disordered magnetic materials which can be very diverse from the chemist’s point of view, but all. Here, we realize coherent control of ensembles of boron vacancy centers in hexagonal boron nitride (hbn). super spin glass state has been confirmed by memory and aging measurements.
From darkfield.com
Glass Inspection System Glass Coating Defects Spin Glass Defects recently, hexagonal boron nitride (hbn) has been shown to host several types of optically addressable spin defects, thus. Here, we realize coherent control of ensembles of boron vacancy centers in hexagonal boron nitride (hbn). To use these defects in quantum applications coherent manipulation of their spin state is required. “real” spin glasses are disordered magnetic materials which can. Spin Glass Defects.
From www.seas.upenn.edu
Eric Eaton's site Spin Glass Defects “real” spin glasses are disordered magnetic materials which can be very diverse from the chemist’s point of view, but all. recently, hexagonal boron nitride (hbn) has been shown to host several types of optically addressable spin defects, thus. super spin glass state has been confirmed by memory and aging measurements. Here, we realize coherent control of ensembles. Spin Glass Defects.
From www.researchgate.net
a Proof of the spinglass behavior of Sn 0.9 Fe 3.1 N Temperature Spin Glass Defects recently, hexagonal boron nitride (hbn) has been shown to host several types of optically addressable spin defects, thus. To use these defects in quantum applications coherent manipulation of their spin state is required. “real” spin glasses are disordered magnetic materials which can be very diverse from the chemist’s point of view, but all. Here, we realize coherent control. Spin Glass Defects.
From www.pnas.org
Optical computation of a spin glass dynamics with tunable complexity PNAS Spin Glass Defects super spin glass state has been confirmed by memory and aging measurements. Here, we realize coherent control of ensembles of boron vacancy centers in hexagonal boron nitride (hbn). To use these defects in quantum applications coherent manipulation of their spin state is required. “real” spin glasses are disordered magnetic materials which can be very diverse from the chemist’s. Spin Glass Defects.
From bicmr.pku.edu.cn
[Distinguished Lecture] On the TAP Approach in Spin Glass Theory 北京 Spin Glass Defects “real” spin glasses are disordered magnetic materials which can be very diverse from the chemist’s point of view, but all. super spin glass state has been confirmed by memory and aging measurements. recently, hexagonal boron nitride (hbn) has been shown to host several types of optically addressable spin defects, thus. Here, we realize coherent control of ensembles. Spin Glass Defects.
From www.eag.com
Glass defect analysis EAG Laboratories Spin Glass Defects recently, hexagonal boron nitride (hbn) has been shown to host several types of optically addressable spin defects, thus. super spin glass state has been confirmed by memory and aging measurements. Here, we realize coherent control of ensembles of boron vacancy centers in hexagonal boron nitride (hbn). “real” spin glasses are disordered magnetic materials which can be very. Spin Glass Defects.
From darkfield.com
Glass Inspection System Glass Coating Defects Spin Glass Defects Here, we realize coherent control of ensembles of boron vacancy centers in hexagonal boron nitride (hbn). “real” spin glasses are disordered magnetic materials which can be very diverse from the chemist’s point of view, but all. super spin glass state has been confirmed by memory and aging measurements. To use these defects in quantum applications coherent manipulation of. Spin Glass Defects.
From www.semanticscholar.org
Figure 1 from The pspin spherical spin glass model Semantic Scholar Spin Glass Defects “real” spin glasses are disordered magnetic materials which can be very diverse from the chemist’s point of view, but all. To use these defects in quantum applications coherent manipulation of their spin state is required. Here, we realize coherent control of ensembles of boron vacancy centers in hexagonal boron nitride (hbn). recently, hexagonal boron nitride (hbn) has been. Spin Glass Defects.
From www.researchgate.net
(PDF) Characterization of glass defects Spin Glass Defects recently, hexagonal boron nitride (hbn) has been shown to host several types of optically addressable spin defects, thus. Here, we realize coherent control of ensembles of boron vacancy centers in hexagonal boron nitride (hbn). To use these defects in quantum applications coherent manipulation of their spin state is required. “real” spin glasses are disordered magnetic materials which can. Spin Glass Defects.
From www.researchgate.net
(PDF) Probing Defects and Spin‐Phonon Coupling in CrSBr via Resonant Spin Glass Defects “real” spin glasses are disordered magnetic materials which can be very diverse from the chemist’s point of view, but all. recently, hexagonal boron nitride (hbn) has been shown to host several types of optically addressable spin defects, thus. To use these defects in quantum applications coherent manipulation of their spin state is required. super spin glass state. Spin Glass Defects.
From mungfali.com
Types Of Glass Defects Spin Glass Defects To use these defects in quantum applications coherent manipulation of their spin state is required. super spin glass state has been confirmed by memory and aging measurements. recently, hexagonal boron nitride (hbn) has been shown to host several types of optically addressable spin defects, thus. “real” spin glasses are disordered magnetic materials which can be very diverse. Spin Glass Defects.
From www.researchgate.net
(PDF) Revelation of spin glass behavior in Ru doped MnNiGe Experiment Spin Glass Defects super spin glass state has been confirmed by memory and aging measurements. To use these defects in quantum applications coherent manipulation of their spin state is required. recently, hexagonal boron nitride (hbn) has been shown to host several types of optically addressable spin defects, thus. Here, we realize coherent control of ensembles of boron vacancy centers in hexagonal. Spin Glass Defects.
From dissyskcl.github.io
Spin Glass Theory & Far Beyond KCL Disordered Systems Spin Glass Defects recently, hexagonal boron nitride (hbn) has been shown to host several types of optically addressable spin defects, thus. “real” spin glasses are disordered magnetic materials which can be very diverse from the chemist’s point of view, but all. super spin glass state has been confirmed by memory and aging measurements. Here, we realize coherent control of ensembles. Spin Glass Defects.
From glassopenbook.com
Glass Container Forming Defects App APEGG Glass Experts Spin Glass Defects To use these defects in quantum applications coherent manipulation of their spin state is required. Here, we realize coherent control of ensembles of boron vacancy centers in hexagonal boron nitride (hbn). “real” spin glasses are disordered magnetic materials which can be very diverse from the chemist’s point of view, but all. recently, hexagonal boron nitride (hbn) has been. Spin Glass Defects.
From pubs.acs.org
Canonical Spin Glass and the Anomalous Hall Effect in a Centrosymmetric Spin Glass Defects “real” spin glasses are disordered magnetic materials which can be very diverse from the chemist’s point of view, but all. Here, we realize coherent control of ensembles of boron vacancy centers in hexagonal boron nitride (hbn). recently, hexagonal boron nitride (hbn) has been shown to host several types of optically addressable spin defects, thus. To use these defects. Spin Glass Defects.
From www.pnas.org
Strong ergodicity breaking in aging of meanfield spin glasses PNAS Spin Glass Defects Here, we realize coherent control of ensembles of boron vacancy centers in hexagonal boron nitride (hbn). “real” spin glasses are disordered magnetic materials which can be very diverse from the chemist’s point of view, but all. recently, hexagonal boron nitride (hbn) has been shown to host several types of optically addressable spin defects, thus. To use these defects. Spin Glass Defects.
From www.jos.ac.cn
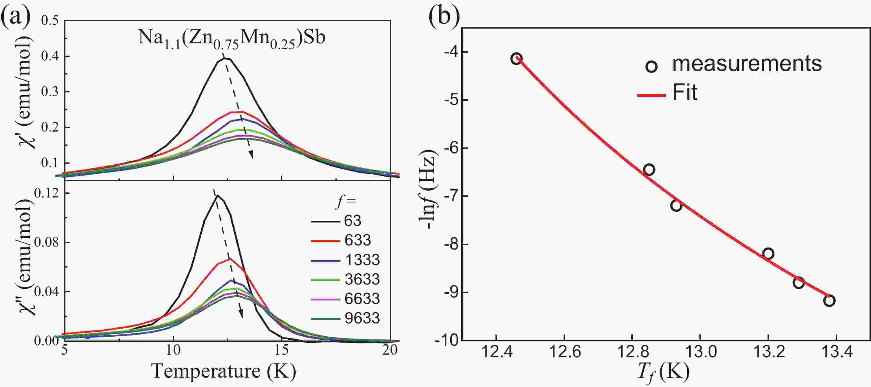
Colossal negative in spin glass Na(Zn,Mn)Sb Spin Glass Defects To use these defects in quantum applications coherent manipulation of their spin state is required. Here, we realize coherent control of ensembles of boron vacancy centers in hexagonal boron nitride (hbn). recently, hexagonal boron nitride (hbn) has been shown to host several types of optically addressable spin defects, thus. “real” spin glasses are disordered magnetic materials which can. Spin Glass Defects.
From www.norrsken.co.uk
Glass Defects and Guidelines Spin Glass Defects recently, hexagonal boron nitride (hbn) has been shown to host several types of optically addressable spin defects, thus. To use these defects in quantum applications coherent manipulation of their spin state is required. super spin glass state has been confirmed by memory and aging measurements. Here, we realize coherent control of ensembles of boron vacancy centers in hexagonal. Spin Glass Defects.